위시켓 상위 0.1% 파트너

외주 실패를 끝내는
IT 파트너

개발만 넘기고 끝나는 외주가 아닌,
런칭 후 운영까지 함께 가는 파트너.

외주 실패 없이

시작부터 런칭 이후까지
일관된 구조와 소통

30+

완료 프로젝트

문제 공감

이런 경험, 있으시죠?

  1. 01

    외주 맡겼다가 일정이 계속 밀린 경험이 있다

  2. 02

    업체마다 견적이 너무 달라서 기준이 없다

  3. 03

    개발 범위가 애매해서 비용이 계속 늘어난다

  4. 04

    런칭 후 이슈가 생겼는데 업체와 연락이 닿지 않는다

  5. 05

    개발 중 진행 상황이 보이지 않아 불안하다

외주 실패는 "시작부터 런칭 이후까지 일관된 구조와 소통이 없어서" 발생합니다.

해결 방법

4단계로 구성된
통합 프로세스

STEP 01

상세 기획 · 기능 단위 분해

설계의 모호함을 제거합니다

아이디어를 구체적 기능 단위로 분해합니다. 시나리오·스펙·예외 흐름까지 정의된 설계 문서가 WBS와 견적의 기반이 됩니다.

STEP 02

WBS 기반 범위 확정

"시작 금액 = 끝날 때 금액" 보장

WBS로 개발 전 범위·비용·일정을 확정합니다. 변경 리스크를 최소화해 추가 비용 발생을 원천 차단합니다.

STEP 03

주 단위 데모

매주 진행률·리스크 투명 공유

매주 실제 동작하는 결과물을 시연합니다. 비개발자도 진행 상황을 보며 조기에 방향을 조정할 수 있습니다.

STEP 04

런칭 이후 연속 지원

개발팀이 그대로 운영팀

모니터링·장애 대응·보안 패치부터 기능 고도화까지 한 팀이 지속 책임집니다. 업체 교체 없이 장기 파트너로 이어집니다.

산출물 미리보기

말로만 약속하지 않습니다

모든 프로젝트는 상세 기획서와 WBS를 사전에 작성합니다. 아래는 실제 프로젝트의 산출물 일부입니다.

기획서 — 5단계 프로젝트 페이즈와 산출물 명세
기획서 · PowerPoint

5단계 프로젝트 페이즈 + 산출물 명세

기획·디자인·개발·테스트·런칭 5단계와 단계별 산출물(요구사항 정의서·화면 설계서·정책 문서·디자인 시안·빌드·API·운영 매뉴얼 등)을 사전에 명시합니다.

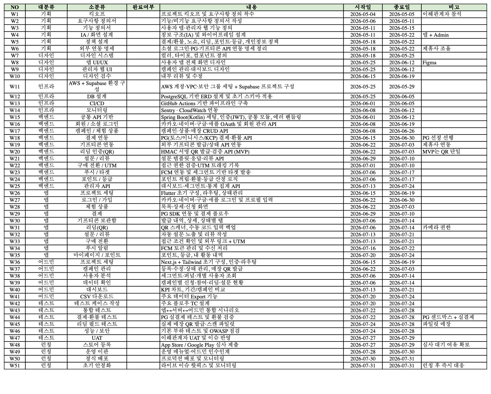
WBS — 50+ 작업 단위 일정·소요·완료 추적
WBS · Excel

50+ 작업 단위로 분해된 일정·소요·완료 추적

아이디어를 기능 단위로 분해해 시작일·종료일·완료 여부를 행 단위로 관리합니다. 범위·비용·일정이 사전에 확정되는 근거가 됩니다.

샐링잇 팀

7명. 한 팀이 끝까지 책임집니다.

기획·디자인·개발이 모두 한 팀 안에서 움직입니다.

1

기획 · PM

3

프로덕트 디자이너

3

개발자

TOTAL 7 명 · 한 팀
01

담당자가 바뀌지 않습니다

외주 실패의 가장 큰 원인은 담당자 교체입니다. 소수 정예라 시작과 끝의 책임자가 같습니다.

02

기획 · 디자인 · 개발이 한 호흡

외부 협업 없이 내부에서 모든 단계가 연결됩니다. 의사결정 속도와 결과의 일관성이 다릅니다.

샐링잇과 함께한 프로젝트

클라이언트 후기

실제 발주사의 생생한 평가

프로젝트를 함께한 고객사가 직접 남긴 후기입니다.

★★★★★
개발 전 과정에 대해 상세히 설명해 주시고, 적극적인 소통을 통해 프로젝트를 함께 이끌어 주셨습니다. 무엇보다 요청 사항을 정확히 이해하고 충실히 반영해 주셔서 결과물에 매우 만족하고 있습니다. 전문성과 협업 역량이 모두 뛰어나신 파트너로, 향후 추가 개발 건이 있다면 다시 함께하고 싶습니다. 다른 분들께도 적극 추천드립니다.
프로젝트 발주사
★★★★★
사실 이런 분야를 잘 모르고 헷갈리기도 했는데, 눈높이에 맞춰 설명을 잘 해주셔서 이해력이 올라갔습니다. 너무 친절하시고 소통이 원활했으며, 개발자·디자이너 모두 훌륭하셔서 제가 어렵게 말해도 원하는 걸 정확히 캐치해 잘 만들어주셨습니다. 감사합니다!
프로젝트 발주사
★★★★★
이번 프로젝트에서 가장 만족스러웠던 점은, 말을 길게 하지 않아도 제 의도를 정확히 이해해주셨다는 것입니다. 초기 기획 단계부터 방향을 함께 좁혀가며, 제가 놓쳤던 부분까지 메모·정리해 더 명확한 구조를 잡아주셨습니다. 다른 업체 미팅에서는 전문 용어와 난해한 설명으로 혼란스러웠지만, 이분과는 대화할수록 기획이 확장되고 정리되면서 확신이 생겼습니다. 수정 요청 반응 속도도 빠르고, 커뮤니케이션 밀도도 높습니다. 믿고 맡길 수 있는 좋은 파트너를 만난 느낌입니다. 별이 다섯 개밖에 없어서 아쉽네요. 감사했습니다.
프로젝트 발주사
★★★★★
모든 부분이 완벽했습니다. 이번에 다시 느끼지만, 위시켓을 통해 이런 숨은 고수를 만나게 되어 정말 감사했습니다.
프로젝트 발주사
★★★★★
회사에서 진행되는 프로젝트의 후반기에 참여했음에도 고객사 파견 근무를 하시면서 성실하게 수행해주셔서 감사합니다. 기존 코드가 협력을 전제로 작성되어 있지 않아 어려운 환경이었고 고객사 커뮤니케이션도 쉽지 않은 상황이었으나, 적극적으로 고객사와 직접 커뮤니케이션하며 개발을 진행해주셨습니다. 전반적으로 프로젝트가 늦어져 일정에 여유가 없었는데도 주말까지 열심히 노력해주신 덕분에 잘 마칠 수 있었습니다. 앞으로도 기회가 된다면 꼭 같이 하고 싶은 파트너라고 생각됩니다.
프로젝트 발주사
기획·디자인이 전혀 없는 상태에서도 시작할 수 있나요?

아이디어만 있어도 충분합니다. 기획·디자인·개발·운영까지 한 팀에서 진행하며, 첫 미팅에서 방향을 함께 구체화합니다.

MVP로 작게 시작해서 단계별로 확장 가능한가요?

핵심 기능부터 4~6주 내 런칭하고, 실제 사용자 반응에 따라 확장 로드맵을 조정합니다. 초기부터 확장 가능한 구조로 설계합니다.

견적이 중간에 늘어나지는 않나요?

WBS 기반으로 기능 단위 범위를 사전에 확정합니다. 개발 중 추가 요청은 별도 견적으로 분리해 "시작할 때 금액 = 끝날 때 금액"을 보장합니다.

계약 전에 NDA(비밀유지) 체결이 가능한가요?

상담 단계에서 NDA를 먼저 체결하고 아이디어·자료를 공유받습니다. 아이디어 보호가 최우선입니다.

최소 예산은 얼마부터인가요?

웹·랜딩은 100만 원~, MVP·본격 서비스는 1,000만 원~부터 시작합니다. 자세한 구간은 가격 가이드를 참고해주세요. 정확한 견적은 WBS 작성 후 확정됩니다.

개발 완료 후 하자 보수 기간은 어떻게 되나요?

개발 기간에 따라 달라집니다. 평균 개발 기간의 2배를 하자 보수 기간으로 산정합니다.

해외 / 원격 협업도 가능한가요?

네, 가능합니다. 화상 미팅·문서·데모 기반으로 시차와 지역에 관계없이 진행할 수 있습니다.

가격 가이드

프로젝트 규모별 가격 안내

정확한 견적은 WBS 작성 후 확정됩니다. 아래는 일반적인 시작 구간 안내입니다.

STARTER

웹 · 랜딩

회사·브랜드를 빠르게 알리는 가벼운 웹

100만 원 ~ 1,000만 원 기간 1–3주
  • 회사·브랜드 공식 홈페이지
  • 마케팅 랜딩 페이지
  • 반응형 대응 · 기본 SEO
  • 간단한 문의 폼 · 카카오톡 연동
FULL

풀 서비스 · 엔터프라이즈

매칭·커머스·B2B 등 본격 사업화 규모

3,000만 원 ~ 기간 2–6개월
  • 매칭 플랫폼 · B2B 발주 · IoT 등
  • iOS · Android · Web 멀티 플랫폼
  • 본격 관리자 웹 + 통계 대시보드
  • 인프라 설계 · 운영 자동화
  • 장기 파트너십 · 전담 인력 배치
왜 지금인가

늦어질수록
비용은 커집니다

기획·개발·런칭의 골든타임은 다시 오지 않습니다. 지금 시작해야 하는 세 가지 이유.

01 · Opportunity Cost

출시 1개월 = 매출 1개월

런칭이 한 달 늦어지면, 그 한 달의 매출 기회는 영구히 사라집니다. 그동안 경쟁사는 사용자와 데이터를 먼저 확보합니다.

02 · Cost Lock-in

개발 단가는 매년 상승

인건비·인프라 비용은 매년 오릅니다. 지금 WBS로 견적을 락인해두지 않으면 같은 범위라도 내년에는 더 큰 비용이 듭니다.

견적 요청

지금 아이디어로
개발 비용을 확인하세요

기획서·디자인 없이 아이디어만 있어도 괜찮습니다. 첫 미팅에서 방향을 함께 구체화합니다.

  • 영업일 기준 48시간 내 초기 답변
  • WBS 기반 상세 견적 제공

제출 시 개인정보 수집·이용에 동의하는 것으로 간주됩니다.

1분 견적 요청